Phenomenology

The unusual word `phenomenology’ refers to the study of various observable phenomena related to dark matter. Here, we focus on the ways theoretical descriptions of dark matter may be tested in laboratory experiments.

Direct Detection  (WIMPs):  Dark matter is all around us, and since it interacts very weakly with regular matter it can pass straight through walls and is in the room with you now.  One way of looking for dark matter is to build very sensitive detectors and carefully look for very rare and weak interactions between dark matter particles and regular atoms.  These experiments are usually built deep underground to shield them from, for example, cosmic rays from the sky (these so-called backgrounds can cause signals very similar to the genuine dark matter interactions we search for).  We perform detailed theoretical calculations to calculate the expected signals in WIMP direct detection experiments such as SABRE and Cygnus and to establish the precise level of background events.  We predict how these signals are affected by the quantum structure of the atomic nuclei composing these detectors. We also develop techniques to extend the sensitivity of these and similar experiments down to the smallest possible dark matter masses (below the mass of a proton).

Spin independent DM-proton cross section discovery limits, showing the impact of the neutrino background on the exposure required for discovery.  [Figure taken from O’Hare, Phys. Rev. D 102, 063024 (2020).]

Large Hadron Collider (WIMPs):  If dark matter is a WIMP, particle colliders such as the Large Hadron Collider (LHC) at CERN may be the first experiment to discover the new particle, and could present the best opportunity to perform detailed measurements of its properties.  To search for dark matter at the LHC, we perform detailed simulations of the proton-proton collisions and detector responses and examine how the rare dark matter signal can be distinguished from superficially similar signals.  Working closely with experimentalists, we comprehensively study the theories developed in the Centre and elsewhere, and develop methods for discovering dark matter at the LHC. 

Direct Detection (WISPs):  WISPs may be discovered in a wide variety of different experiments, such as haloscopes (like the Centre’s ORGAN experiment), helioscopes (which look for these particles after they are produced in the sun), light-shining-through-wall experiments (which rely on a conversion between WISPs and photons) and observations of horizontal branch stars, supernova 1987A, white dwarf cooling and astrophysical gamma-rays.  We calculate the expected signals from various WISP models in this wide variety of experimental settings.

Theoretical Interpretation of Data:  Uncovering the identity of dark matter will require piecing together clues from many experiments.  For example, the same underlying interaction of dark matter with ordinary matter can be responsible for the scattering of dark matter from nuclei (direct detection), the creation of dark matter particles at the LHC (collider production) and the annihilation of dark matter at the galactic centre (indirect detection).  Yet the relationships between signals in different experiments depend sensitively on the details of the theoretical model.  We develop calculations and software tools to test our theoretical models against all available experimental data.  This will allow us to optimise future search strategies and, eventually, understand what dark matter really is.

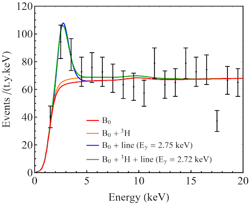
The best fit line signal for a luminous dark matter model (green and blue) compared with data points from the Xenon 1T experiment. [Figure taken from Bell, Dent, Dutta, Ghost, Kumar and Newstead, Phys. Rev. Lett. 125 161803, (2020).]

Josh Cohen